Biodiversidad Vegetal
Objetivos
El objetivo principal de este eje temático es estudiar los cambios funcionales y taxonómicos a lo largo de un gradiente longitudinal de transición, que se extiende desde los bosques secos de la costa del Pacífico hasta la espesura de la selva amazónica.

Este eje representa un gradiente de precipitación asociado a importantes variaciones atmosféricas, topográficas, climáticas y edáficas. Las adaptaciones particulares presentes en las especies arbóreas a lo largo de este trayecto convierten a esta zona en una de las regiones más biodiversas del planeta.
Nuestros objetivos especificos:
Analizar los cambios en la composición taxonómica (presencia/ausencia y abundancia) de las especies arbóreas en respuesta a factores ambientales.
Analizar la diversidad funcional (en rasgos de hoja, tallo y raíz) de las especies más abundantes en los diferentes tipos de bosque.
Estudiar el impacto de la integración fenotípica y su relación con la dominancia local y regional.
Metodología
La selección de los puntos de muestreo se realizó utilizando los datos del Primer Inventario Forestal Nacional de Perú, cedidos mediante convenio por el Servicio Nacional Forestal y de Fauna Silvestre - SERFOR. Estos puntos abarcan parcelas de 0.5 hectáreas donde se mide el tamaño y la identidad de todos los árboles presentes.
Tras analizar la diversidad taxonómica de las especies, seleccionamos las más abundantes en cada territorio y organizamos expediciones de muestreo en coordinación con comunidades rurales, propietarios de fincas y gestores de espacios protegidos.
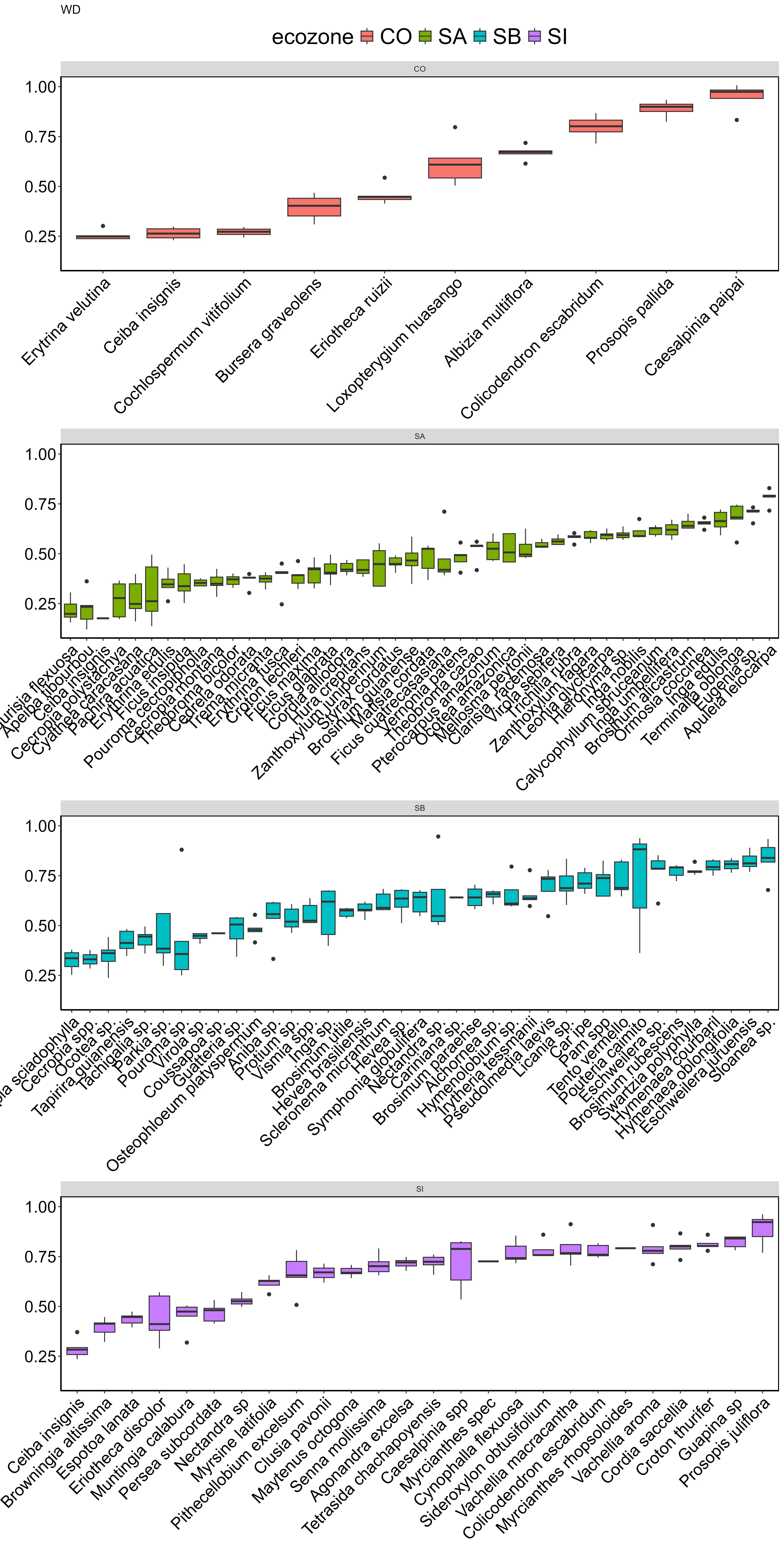
De cada especie elegida, se tomaron muestras de hoja, tallo y raíz de cinco (5) individuos. A partir de estas muestras, se obtuvieron medidas de rasgos funcionales clave, como el área foliar específica (SLA), la densidad de la madera (WD) o la longitud específica de la raíz (SRL).



Algunos resultados preliminares:
Los resultados preliminares sobre la densidad de la madera en bosques de costa, sierra, selva alta y selva baja demuestran una gran variabilidad entre especies, observándose madera más densa en zonas de bosque seco que en la selva amazónica.
